作者:解学武
数据的逻辑结构和存储结构(物理结构)详解
《数据结构有哪些》一节讲到,数据的存储方式可分为线性表、树和图三种存储结构,而每种存储结构又可细分为顺序存储结构和链式存储结构。数据存储方式如此之多,针对不同类型的数据选择合适的存储方式是至关重要的。
那么,到底如何选择呢?数据存储结构的选择取决于两方面,即数据的逻辑结构和存储结构(又称物理结构)。

图 1 家庭成员关系图
例如,图 1 显示是一张家庭的成员关系图,从图中可以看到,张平、张华和张群是兄弟,他们的父亲是张亮,其中张平有两个儿子,分别是张晶和张磊。
以上所说,父子、兄弟等这些关系都指的是数据间的逻辑关系,假设我们要存储这样一张家庭成员关系图,不仅要存储张平、张华等数据,还要存储它们之间的关系,两者缺一不可。

图 2 “多对多”关系示意图
数据之间的逻辑关系可细分为三类,“一对一”、“一对多”和“多对多”:
通过学习数据结构,我们可以学到 3 种存储结构分别存储这 3 类逻辑关系的数据,换句话说:
由此,我们可以通过分析数据之间的逻辑关系来决定使用哪种存储结构,但具体使用顺序存储还是链式存储,还要通过数据的物理结构来决定。

图 3 数据的物理存储方式
如果选择集中存储,就使用顺序存储结构;反之,就使用链式存储。至于如何选择,主要取决于存储设备的状态以及数据的用途。
我们知道,集中存储(底层实现使用的是数组)需要使用一大块连续的物理空间,假设要存储大小为 1G 的数据,若存储设备上没有整块大小超过 1G 的空间,就无法使用顺序存储,此时就要选择链式存储,因为链式存储是随机存储数据,占用的都是存储设备中比较小的存储空间,因此有一定几率可以存储成功。
并且,数据的用途不同,选择的存储结构也不同。将数据进行集中存储有利于后期对数据进行遍历操作,而分散存储更有利于后期增加或删除数据。因此,如果后期需要对数据进行大量的检索(遍历),就选择集中存储;反之,若后期需要对数据做进一步更新(增加或删除),则选择分散存储。
声明:当前文章为本站“玩转C语言和数据结构”官方原创,由国家机构和地方版权局所签发的权威证书所保护。
那么,到底如何选择呢?数据存储结构的选择取决于两方面,即数据的逻辑结构和存储结构(又称物理结构)。
逻辑结构
数据的逻辑结构,简单地理解,就是指的数据之间的逻辑关系。
图 1 家庭成员关系图
例如,图 1 显示是一张家庭的成员关系图,从图中可以看到,张平、张华和张群是兄弟,他们的父亲是张亮,其中张平有两个儿子,分别是张晶和张磊。
以上所说,父子、兄弟等这些关系都指的是数据间的逻辑关系,假设我们要存储这样一张家庭成员关系图,不仅要存储张平、张华等数据,还要存储它们之间的关系,两者缺一不可。
一组数据成功存储到计算机的衡量标准是要能将其完整的复原。例如图 1 所示的成员关系图,如果所存储的数据能将此成员关系图彻底复原,则说明数据存储成功。

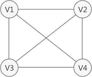
图 2 “多对多”关系示意图
数据之间的逻辑关系可细分为三类,“一对一”、“一对多”和“多对多”:
-
“一对一”:类似集合
{1,2,3,...,n}这类的数据,每个数据的左侧有且仅有一个数据与其相邻(除 1 外);同样,每个数据的右侧也只有一个数据与其相邻(除 n 外),所有的数据都是如此,就说数据之间是“一对一”的逻辑关系; - “一对多”:图 1 中的数据就属于“一对多”,因为对于张平来说,有且仅有一个父亲(张亮),但是有 2(多)个孩子;
- “多对多”:拿图 2 来说,从 V1 可以到达 V2、V3、V4,同样,从 V2、V3、V4 也可以到达 V1,对于V1、V2、V3和V4来说,它们之间就是“多对多”的关系;
通过学习数据结构,我们可以学到 3 种存储结构分别存储这 3 类逻辑关系的数据,换句话说:
- 线性表用于存储具有“一对一”逻辑关系的数据;
- 树结构用于存储具有“一对多”关系的数据;
- 图结构用于存储具有“多对多”关系的数据;
由此,我们可以通过分析数据之间的逻辑关系来决定使用哪种存储结构,但具体使用顺序存储还是链式存储,还要通过数据的物理结构来决定。
存储结构(物理结构)
数据的存储结构,也就是物理结构,指的是数据在物理存储空间上选择集中存放还是分散存放。假设要存储大小为 10G 的数据,则集中存放就如图 3a) 所示,分散存放就如图 3b)所示。
图 3 数据的物理存储方式
如果选择集中存储,就使用顺序存储结构;反之,就使用链式存储。至于如何选择,主要取决于存储设备的状态以及数据的用途。
我们知道,集中存储(底层实现使用的是数组)需要使用一大块连续的物理空间,假设要存储大小为 1G 的数据,若存储设备上没有整块大小超过 1G 的空间,就无法使用顺序存储,此时就要选择链式存储,因为链式存储是随机存储数据,占用的都是存储设备中比较小的存储空间,因此有一定几率可以存储成功。
并且,数据的用途不同,选择的存储结构也不同。将数据进行集中存储有利于后期对数据进行遍历操作,而分散存储更有利于后期增加或删除数据。因此,如果后期需要对数据进行大量的检索(遍历),就选择集中存储;反之,若后期需要对数据做进一步更新(增加或删除),则选择分散存储。
至于为什么,我们会在详解两种存储结构时告知大家。
声明:当前文章为本站“玩转C语言和数据结构”官方原创,由国家机构和地方版权局所签发的权威证书所保护。


ICP备案:
公安部网络备案: