作者:解学武
深度优先生成树和广度优先生成树
本章的第一节中,介绍了有关生成树和生成森林的有关知识,本节来解决对于给定的无向图,如何构建它们相对应的生成树或者生成森林。
其实在对无向图进行遍历的时候,遍历过程中所经历过的图中的顶点和边的组合,就是图的生成树或者生成森林。

图 1 无向图
例如,图 1 中的无向图是由 V1~V7 的顶点和编号分别为 a~i 的边组成。当使用深度优先搜索算法时,假设 V1 作为遍历的起始点,涉及到的顶点和边的遍历顺序为(不唯一):

此种遍历顺序构建的生成树为:
由深度优先搜索得到的树为深度优先生成树。同理,广度优先搜索生成的树为广度优先生成树,图 1 无向图以顶点 V1 为起始点进行广度优先搜索遍历得到的树,如图 3 所示:

图 3 广度优先生成树
非连通图中,多个连通分量构成的多个生成树为非连通图的生成森林。

图 4 深度优先生成森林
例如,对图 4 中的非连通图 (a) 采用深度优先搜索算法遍历时,得到的深度优先生成森林(由 3 个深度优先生成树构成)如 (b) 所示(不唯一)。
具体实现的代码:

图5 孩子兄弟表示法表示深度优先生成森林
运行结果
拿图 4(a)中的非连通图为例,通过广度优先搜索得到的广度优先生成森林用孩子兄弟表示法为:

图6 广度优先生成森林(孩子兄弟表示法)
实现代码为:
声明:当前文章为本站“玩转C语言和数据结构”官方原创,由国家机构和地方版权局所签发的权威证书所保护。
其实在对无向图进行遍历的时候,遍历过程中所经历过的图中的顶点和边的组合,就是图的生成树或者生成森林。

图 1 无向图

此种遍历顺序构建的生成树为:
由深度优先搜索得到的树为深度优先生成树。同理,广度优先搜索生成的树为广度优先生成树,图 1 无向图以顶点 V1 为起始点进行广度优先搜索遍历得到的树,如图 3 所示:

图 3 广度优先生成树
非连通图的生成森林
非连通图在进行遍历时,实则是对非连通图中每个连通分量分别进行遍历,在遍历过程经过的每个顶点和边,就构成了每个连通分量的生成树。非连通图中,多个连通分量构成的多个生成树为非连通图的生成森林。
深度优先生成森林

图 4 深度优先生成森林
例如,对图 4 中的非连通图 (a) 采用深度优先搜索算法遍历时,得到的深度优先生成森林(由 3 个深度优先生成树构成)如 (b) 所示(不唯一)。
具体实现的代码:
#include <stdio.h>
#include <stdlib.h>
#define MAX_VERtEX_NUM 20 //顶点的最大个数
#define VRType int //表示顶点之间的关系的变量类型
#define VertexType int //图中顶点的数据类型
typedef enum{false,true}bool; //定义bool型常量
bool visited[MAX_VERtEX_NUM]; //设置全局数组,记录标记顶点是否被访问过
typedef struct {
VRType adj; //对于无权图,用 1 或 0 表示是否相邻;对于带权图,直接为权值。
}ArcCell,AdjMatrix[MAX_VERtEX_NUM][MAX_VERtEX_NUM];
typedef struct {
VertexType vexs[MAX_VERtEX_NUM]; //存储图中顶点数据
AdjMatrix arcs; //二维数组,记录顶点之间的关系
int vexnum,arcnum; //记录图的顶点数和弧(边)数
}MGraph;
//孩子兄弟表示法的链表结点结构
typedef struct CSNode{
VertexType data;
struct CSNode * lchild;//孩子结点
struct CSNode * nextsibling;//兄弟结点
}*CSTree,CSNode;
//根据顶点本身数据,判断出顶点在二维数组中的位置
int LocateVex(MGraph G,VertexType v){
int i=0;
//遍历一维数组,找到变量v
for (; i<G.vexnum; i++) {
if (G.vexs[i]==v) {
break;
}
}
//如果找不到,输出提示语句,返回-1
if (i>G.vexnum) {
printf("no such vertex.\n");
return -1;
}
return i;
}
//构造无向图
void CreateDN(MGraph *G){
scanf("%d,%d",&(G->vexnum),&(G->arcnum));
getchar();
for (int i=0; i<G->vexnum; i++) {
scanf("%d",&(G->vexs[i]));
}
for (int i=0; i<G->vexnum; i++) {
for (int j=0; j<G->vexnum; j++) {
G->arcs[i][j].adj=0;
}
}
for (int i=0; i<G->arcnum; i++) {
int v1,v2;
scanf("%d,%d",&v1,&v2);
int n=LocateVex(*G, v1);
int m=LocateVex(*G, v2);
if (m==-1 ||n==-1) {
printf("no this vertex\n");
return;
}
G->arcs[n][m].adj=1;
G->arcs[m][n].adj=1;//无向图的二阶矩阵沿主对角线对称
}
}
int FirstAdjVex(MGraph G,int v)
{
//查找与数组下标为v的顶点之间有边的顶点,返回它在数组中的下标
for(int i = 0; i<G.vexnum; i++){
if( G.arcs[v][i].adj ){
return i;
}
}
return -1;
}
int NextAdjVex(MGraph G,int v,int w)
{
//从前一个访问位置w的下一个位置开始,查找之间有边的顶点
for(int i = w+1; i<G.vexnum; i++){
if(G.arcs[v][i].adj){
return i;
}
}
return -1;
}
void DFSTree(MGraph G,int v,CSTree*T){
//将正在访问的该顶点的标志位设为true
visited[v]=true;
bool first=true;
CSTree q=NULL;
//依次遍历该顶点的所有邻接点
for (int w=FirstAdjVex(G, v); w>=0; w=NextAdjVex(G, v, w)) {
//如果该临界点标志位为false,说明还未访问
if (!visited[w]) {
//为该邻接点初始化为结点
CSTree p=(CSTree)malloc(sizeof(CSNode));
p->data=G.vexs[w];
p->lchild=NULL;
p->nextsibling=NULL;
//该结点的第一个邻接点作为孩子结点,其它邻接点作为孩子结点的兄弟结点
if (first) {
(*T)->lchild=p;
first=false;
}
//否则,为兄弟结点
else{
q->nextsibling=p;
}
q=p;
//以当前访问的顶点为树根,继续访问其邻接点
DFSTree(G, w, &q);
}
}
}
//深度优先搜索生成森林并转化为二叉树
void DFSForest(MGraph G,CSTree *T){
(*T)=NULL;
//每个顶点的标记为初始化为false
for (int v=0; v<G.vexnum; v++) {
visited[v]=false;
}
CSTree q=NULL;
//遍历每个顶点作为初始点,建立深度优先生成树
for (int v=0; v<G.vexnum; v++) {
//如果该顶点的标记位为false,证明未访问过
if (!(visited[v])) {
//新建一个结点,表示该顶点
CSTree p=(CSTree)malloc(sizeof(CSNode));
p->data=G.vexs[v];
p->lchild=NULL;
p->nextsibling=NULL;
//如果树未空,则该顶点作为树的树根
if (!(*T)) {
(*T)=p;
}
//该顶点作为树根的兄弟结点
else{
q->nextsibling=p;
}
//每次都要把q指针指向新的结点,为下次添加结点做铺垫
q=p;
//以该结点为起始点,构建深度优先生成树
DFSTree(G,v,&p);
}
}
}
//前序遍历二叉树
void PreOrderTraverse(CSTree T){
if (T) {
printf("%d ",T->data);
PreOrderTraverse(T->lchild);
PreOrderTraverse(T->nextsibling);
}
return;
}
int main() {
MGraph G;//建立一个图的变量
CreateDN(&G);//初始化图
CSTree T;
DFSForest(G, &T);
PreOrderTraverse(T);
return 0;
}
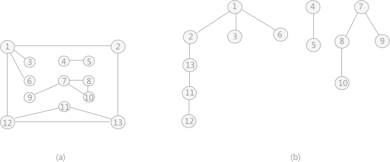
运行程序,拿图 4(a)中的非连通图为例,构建的深度优先生成森林,使用孩子兄弟表示法表示为:

图5 孩子兄弟表示法表示深度优先生成森林
图中,3 种颜色的树各代表一棵深度优先生成树,使用孩子兄弟表示法表示,也就是将三棵树的树根相连,第一棵树的树根作为整棵树的树根。
运行结果
13,13
1
2
3
4
5
6
7
8
9
10
11
12
13
1,2
1,3
1,6
1,12
2,13
4,5
7,8
7,10
7,9
8,10
11,12
11,13
12,13
1 2 13 11 12 3 6 4 5 7 8 10 9
1
2
3
4
5
6
7
8
9
10
11
12
13
1,2
1,3
1,6
1,12
2,13
4,5
7,8
7,10
7,9
8,10
11,12
11,13
12,13
1 2 13 11 12 3 6 4 5 7 8 10 9
广度优先生成森林
非连通图采用广度优先搜索算法进行遍历时,经过的顶点以及边的集合为该图的广度优先生成森林。拿图 4(a)中的非连通图为例,通过广度优先搜索得到的广度优先生成森林用孩子兄弟表示法为:

图6 广度优先生成森林(孩子兄弟表示法)
实现代码为:
#include <stdio.h>
#include <stdlib.h>
#define MAX_VERtEX_NUM 20 //顶点的最大个数
#define VRType int //表示顶点之间的关系的变量类型
#define InfoType char //存储弧或者边额外信息的指针变量类型
#define VertexType int //图中顶点的数据类型
typedef enum{false,true}bool; //定义bool型常量
bool visited[MAX_VERtEX_NUM]; //设置全局数组,记录标记顶点是否被访问过
typedef struct {
VRType adj; //对于无权图,用 1 或 0 表示是否相邻;对于带权图,直接为权值。
InfoType * info; //弧或边额外含有的信息指针
}ArcCell,AdjMatrix[MAX_VERtEX_NUM][MAX_VERtEX_NUM];
typedef struct {
VertexType vexs[MAX_VERtEX_NUM]; //存储图中顶点数据
AdjMatrix arcs; //二维数组,记录顶点之间的关系
int vexnum,arcnum; //记录图的顶点数和弧(边)数
}MGraph;
typedef struct CSNode{
VertexType data;
struct CSNode * lchild;//孩子结点
struct CSNode * nextsibling;//兄弟结点
}*CSTree,CSNode;
typedef struct Queue{
CSTree data;//队列中存放的为树结点
struct Queue * next;
}Queue;
//根据顶点本身数据,判断出顶点在二维数组中的位置
int LocateVex(MGraph * G,VertexType v){
int i=0;
//遍历一维数组,找到变量v
for (; i<G->vexnum; i++) {
if (G->vexs[i]==v) {
break;
}
}
//如果找不到,输出提示语句,返回-1
if (i>G->vexnum) {
printf("no such vertex.\n");
return -1;
}
return i;
}
//构造无向图
void CreateDN(MGraph *G){
scanf("%d,%d",&(G->vexnum),&(G->arcnum));
for (int i=0; i<G->vexnum; i++) {
scanf("%d",&(G->vexs[i]));
}
for (int i=0; i<G->vexnum; i++) {
for (int j=0; j<G->vexnum; j++) {
G->arcs[i][j].adj=0;
G->arcs[i][j].info=NULL;
}
}
for (int i=0; i<G->arcnum; i++) {
int v1,v2;
scanf("%d,%d",&v1,&v2);
int n=LocateVex(G, v1);
int m=LocateVex(G, v2);
if (m==-1 ||n==-1) {
printf("no this vertex\n");
return;
}
G->arcs[n][m].adj=1;
G->arcs[m][n].adj=1;//无向图的二阶矩阵沿主对角线对称
}
}
int FirstAdjVex(MGraph G,int v)
{
//查找与数组下标为v的顶点之间有边的顶点,返回它在数组中的下标
for(int i = 0; i<G.vexnum; i++){
if( G.arcs[v][i].adj ){
return i;
}
}
return -1;
}
int NextAdjVex(MGraph G,int v,int w)
{
//从前一个访问位置w的下一个位置开始,查找之间有边的顶点
for(int i = w+1; i<G.vexnum; i++){
if(G.arcs[v][i].adj){
return i;
}
}
return -1;
}
//初始化队列
void InitQueue(Queue ** Q){
(*Q)=(Queue*)malloc(sizeof(Queue));
(*Q)->next=NULL;
}
//结点v进队列
void EnQueue(Queue **Q,CSTree T){
Queue * element=(Queue*)malloc(sizeof(Queue));
element->data=T;
element->next=NULL;
Queue * temp=(*Q);
while (temp->next!=NULL) {
temp=temp->next;
}
temp->next=element;
}
//队头元素出队列
void DeQueue(Queue **Q,CSTree *u){
(*u)=(*Q)->next->data;
(*Q)->next=(*Q)->next->next;
}
//判断队列是否为空
bool QueueEmpty(Queue *Q){
if (Q->next==NULL) {
return true;
}
return false;
}
void BFSTree(MGraph G,int v,CSTree*T){
CSTree q=NULL;
Queue * Q;
InitQueue(&Q);
//根结点入队
EnQueue(&Q, (*T));
//当队列为空时,证明遍历完成
while (!QueueEmpty(Q)) {
bool first=true;
//队列首个结点出队
DeQueue(&Q,&q);
//判断结点中的数据在数组中的具体位置
int v=LocateVex(&G,q->data);
//已经访问过的更改其标志位
visited[v]=true;
//遍历以出队结点为起始点的所有邻接点
for (int w=FirstAdjVex(G,v); w>=0; w=NextAdjVex(G,v, w)) {
//标志位为false,证明未遍历过
if (!visited[w]) {
//新建一个结点 p,存放当前遍历的顶点
CSTree p=(CSTree)malloc(sizeof(CSNode));
p->data=G.vexs[w];
p->lchild=NULL;
p->nextsibling=NULL;
//当前结点入队
EnQueue(&Q, p);
//更改标志位
visited[w]=true;
//如果是出队顶点的第一个邻接点,设置p结点为其左孩子
if (first) {
q->lchild=p;
first=false;
}
//否则设置其为兄弟结点
else{
q->nextsibling=p;
}
q=p;
}
}
}
}
//广度优先搜索生成森林并转化为二叉树
void BFSForest(MGraph G,CSTree *T){
(*T)=NULL;
//每个顶点的标记为初始化为false
for (int v=0; v<G.vexnum; v++) {
visited[v]=false;
}
CSTree q=NULL;
//遍历图中所有的顶点
for (int v=0; v<G.vexnum; v++) {
//如果该顶点的标记位为false,证明未访问过
if (!(visited[v])) {
//新建一个结点,表示该顶点
CSTree p=(CSTree)malloc(sizeof(CSNode));
p->data=G.vexs[v];
p->lchild=NULL;
p->nextsibling=NULL;
//如果树未空,则该顶点作为树的树根
if (!(*T)) {
(*T)=p;
}
//该顶点作为树根的兄弟结点
else{
q->nextsibling=p;
}
//每次都要把q指针指向新的结点,为下次添加结点做铺垫
q=p;
//以该结点为起始点,构建广度优先生成树
BFSTree(G,v,&p);
}
}
}
//前序遍历二叉树
void PreOrderTraverse(CSTree T){
if (T) {
printf("%d ",T->data);
PreOrderTraverse(T->lchild);
PreOrderTraverse(T->nextsibling);
}
return;
}
int main() {
MGraph G;//建立一个图的变量
CreateDN(&G);//初始化图
CSTree T;
BFSForest(G, &T);
PreOrderTraverse(T);
return 0;
}
运行结果为:
13,13
1
2
3
4
5
6
7
8
9
10
11
12
13
1,2
1,3
1,6
1,12
2,13
4,5
7,8
7,10
7,9
8,10
11,12
11,13
12,13
1 2 13 3 6 12 11 4 5 7 8 9 10
1
2
3
4
5
6
7
8
9
10
11
12
13
1,2
1,3
1,6
1,12
2,13
4,5
7,8
7,10
7,9
8,10
11,12
11,13
12,13
1 2 13 3 6 12 11 4 5 7 8 9 10
声明:当前文章为本站“玩转C语言和数据结构”官方原创,由国家机构和地方版权局所签发的权威证书所保护。



ICP备案:
公安部网络备案: